Zustandszahl - Marktgebiet

Marktgebiet
Die Ausspeisepunkte im Netz der MITNETZ GAS liegen im Marktgebiet THE.
Verfahren zur Ermittlung der Zustandszahl
Entsprechend der Anforderungen aus dem DVGW Arbeitsblatt G 685 veröffentlichen wir nachfolgend das Verfahren zur Ermittlung der Zustandszahl:
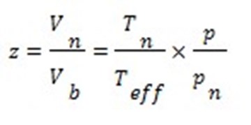
Der Betriebszustand des Gases im Zähler variiert je nach Druck und Temperatur. Für die Gasabrechnung muss der Betriebszustand des Gases daher auf den Normzustand umgerechnet werden. Dies erfolgt über die Zustandszahl, die rechnerisch entsprechend nachfolgender Formel ermittelt wird:

z = Zustandszahl
Vn = Normvolumen [m³]
Vb = Betriebsvolumen [m³]
Tn = Normtemperatur = 273,15K
Teff = Abrechnungstemperatur = 15°C = 288,15 K
p = pamb+peff [mbar]
pamb = Luftdruck am Gaszähler [mbar]
peff = Überdruck [mbar]
pn = Normdruck = 1013,25 mbar
Hilfe & Kontakt
Wir helfen Ihnen gerne weiter. Bitte wählen Sie Ihr Anliegen.
schnell und einfach
Inhalte werden geladen...
Bitte haben Sie noch einen kleinen Augenblick Geduld.
Aktuelle Informationen
Inhalte werden geladen...
Bitte haben Sie noch einen kleinen Augenblick Geduld.
Wichtige Dokumente
Inhalte werden geladen...
Bitte haben Sie noch einen kleinen Augenblick Geduld.
